IRSML 11

IRSML 시뮬레이션 직접 구성하기 - 5

교수님과의 상담에서 많은 깨달음이 있었다. 우선 불투명하거나 모호하게 뜬 데이터나, ns3에서 제공하지 않는 부분을 최대한 걷어내고 다시 구현을 해야겠다. 1. 통상의 Adhoc Network를 가정할 것임. (AP들 제거) 2. 각 node 단에서의 데이터를 뽑아낼 것임.(flow x) 3. csv는 일단 COLAB 쪽으로 raw data만 정리해서 보내고 가공은 COLAB 쪽에서 4. 각 MH들의 Mobility 제거, 배치만 랜덤으로. 이를 기준으로 아예 새로 코드를 짜겠다. #include #include #include #include #include #include #include #include #include #include #include #include #include #include ..

구현 2024.02.26

IRSML 시뮬레이션 직접 구성하기 - 4

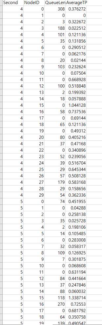
우선 구해낸 데이터가 옳게 구한 데이터이든 아니든 간에 어짜피 아니라 판단되면 나중에 csv 파일에 들어갈 데이터만 바꿔서 다시 실행해주면 된다고 생각한다. 따라서 구현-3 에서 구현한 코드에 결과물을 csv로 정리해서 나오게 추가 구현을 해주고, 이를 Colab에 옮겨서 일단 학습부터 해볼 것이다. 더보기 #include #include #include #include #include #include #include #include #include #include #include #include #include #include using namespace ns3; std::vector QL; std::vector TP; uint32_t APnum = 3; void makeCsvFile(const std..

구현 2024.02.22

IRSML 시뮬레이션 직접 구성하기 - 3

최근에 개인적인 사정으로 정신이 없었던 것 같다. 그 와중 모각코 활동과 병행하느라 정말로 오랜만에 포스팅을 하게된 거 같다. 따라서 이전 내용을 정리해보면 1. ns-3로 논문에 제시된 토폴로지가 아닌 간소화된 토폴로지를 짤 것임. 2. Adhoc network 토폴로지를 구성할 것이며, 3개의 AP, 12개의 MH를 구성하였음. 더보기 자세한 파라미터 1. 총 시뮬레이션 시간 : 250초 2. 500x500 m^2 정사각형 스테이지 3. 각 MH의 Speed는 0~20 m/s 까지 분포 4. 각 MH의 Pause time은 0~2초까지 분포 5. RandomWayPoint model 사용 6. wifi standard = 802.11ac 7. MaxPropagationLossModel을 사용, Max..

구현 2024.02.14

(NS-3) IRSML 시뮬레이션 직접 구성하기 - 2

결국 기존 논문에 제시된 시뮬레이션 토폴로지로 Adhoc network data를 뽑아내는데는 실패했다. 다음은 최종으로 건드렸던 코드이다. #include #include #include #include "ns3/core-module.h" #include "ns3/network-module.h" #include "ns3/applications-module.h" #include "ns3/mobility-module.h" #include "ns3/config-store-module.h" #include "ns3/netanim-module.h" #include "ns3/internet-module.h" #include "ns3/yans-wifi-helper.h" #include "ns3/flow-monito..

구현 2024.02.06

IRSML 논문 구현 아이디어(고려할 점)

1. Simulation의 조건 우선 첫번째로 떠오르는 점은 Number of MH를 극단으로 보내는 것이다. 해당 논문에서는 IRSML이 무거운 SDWN 네트워크 환경에서 강점이 있다고 하였다. 그러나 과연 30~60 node들을 5 nodes 간격으로 측정한 것이 무거운 SDWN에서의 시뮬레이션일지가 궁금하다. 일반적으로 SDWN은 동적인 환경에서 네트워크 자원을 효과적으로 관리하고 유연성을 제공하기 위해 설계되었으므로, 수백 또는 수천 대의 MH가 있는 대규모 네트워크까지 고려해볼 수 있다. 두번째는 Speed of MH이다. 만약 이 알고리즘이 통상적인 도시의 SDWN을 가정한다면, 0-20 m/s는 너무 한정적인 속도 같다. 도시의 구성에 따라 다르겠지만, 0 ~ 28 m/s 까지는 가정해주고 ..

구현 2024.01.08

모각코 첫 번째 모임 개인 계획, 활동과정 및 결과

이번 모각코에서는 현재 작성중인 "IRSML 알고리즘 실제 구현" 을 공부할 것이다. 구체적으로는 저번 시간까지 SL phase를 거의 다 작성했으므로 이번 모각코에서 SL phase 구현을 마무리하고, RL phase를 구현하며, 어떻게 Simulation을 진행할지에 대해 공부할 계획이다. 또한 팀장으로써 앞으로 모각코 모임 일정을 정하고, 전체적으로 매 모임마다 어떻게 진행할 지 형식을 정할 것이다. 활동 과정 : IRSML의 SL, RL Phase 구현 idea 이전에 공부한 내용까지는 SL phase의 구현까지였다. IRSML에서 SL phase 구현을 요약해보면, Simulation Network를 OMNeT++, INET framework 2.0을 활용해 다음과 같은 환경으로 구성하고, 10..

IRSML 논문 구현 아이디어(알고리즘)

* 본 블로그에 작성한 논문 IRSML을 읽고 어떻게 직접 시뮬레이션을 구현해볼지 아이디어들을 작성해놓은 글입니다. ! 중요한 개념 * erlang 등 다양한 정보통신학 용어(http://www.ktword.co.kr/test/view/view.php?m_temp1=519) ㅇ 트래픽 밀도의 단위 및 차원 - 차원 : 무차원 - 단위 . [Erlang] : 1회선을 1시간 동안 점유한 트래픽량 구현 아이디어 1. Supervised learning Phase 본 논문에서는 Offline Training, 즉 배치 기법을 활용하였다. 해당 방법에서는 사전에 준비된 Data set을 Training, test, validation(optional) 으로 나누어 Training data set으로 훈련을 시키..

구현 2024.01.04

SL, RL을 기반으로 한 라우팅 알고리즘 - 5(Conclusions)

* 본 글은 IRSML: An intelligent routing algorithm based on machine learning in software defined wireless networking 을 읽으며 공부한 내용을 바탕으로 작성함. (출처: https://onlinelibrary.wiley.com/doi/full/10.4218/etrij.2021-0212) 5. CONCLUSIONS ML routing protocol을 활용한 wireless network 환경 application은 최근 많은 각광을 받고 있다. 다양한 방법의 ML 기법들은 network performance를 향상시키기 위한 routing protocol 개발에 사용될 수 있으며, 본 논문에서는 SDWN에 대해 ML을 적..

논문 2024.01.02

SL, RL을 기반으로 한 라우팅 알고리즘 - 3.1

* 본 글은 IRSML: An intelligent routing algorithm based on machine learning in software defined wireless networking 을 읽으며 공부한 내용을 바탕으로 작성함. (출처: https://onlinelibrary.wiley.com/doi/full/10.4218/etrij.2021-0212) 3. IRSML ALGORITHM IRSML 알고리즘은 이름 그대로 SDN 아키텍쳐에 기반해 centralized routing 원칙을 따라 실행되는 알고리즘이다. IRSML의 목표는 PBP를 최소화하는 source to destination route를 찾는 것이다. 또한 이와 동시에 QoT와 EED는 항상 보장되는 상태여야한다. 이 알..

논문 2023.12.29